Skip to content
Menu
home
matika a fyzika
sheearee – myšlení je radost!
úlohy se sirkami
NIM – hra se sirkami
Přesuň jednu sirku, aby platila rovnost!
kde je chyba?
Island Tresure
dva geometři
pelmel
sheearee na FB
hádanky o vězních
matfyzjokes
A, B a C aneb matematika z lidské stránky
hudba
muzikály
Ludvík
Židle v kruhu
Černá & Bílá
…s Yarushkou
Leonardo D. V.
zpěvníky pro kouřimskou Pakáž
šachy
retrográdní analýza
Samuel Loyd
recepty
maso
mleté balkánské frikadely
Panpánkovy kotletky alá Gordon Ramsay
sicilské masové koule
ryby
sulcovaný kapr
polévky
maďarská rybí polévka halászlé
mexické posolé
pomazánky a paštiky
saláty
bramborový salát s jablky a křenem
kvašení a fermentování
domácí kysané zelí
sladké dobroty
mňamky od Aničky Tomáškový
nápoje
Big Lebowski
pelmel
slavné citáty
hlášky od maturit
přísloví vědecky
…z mého života
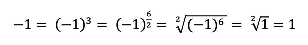
Kde je chyba?
Kde je chyba v tomto výpočtu? Něco je špatně. Ale co přesně?